| |||||
| Auteur | Sujet : Topic pizza maison |
|---|---|
Skol | Reprise du message précédent : |
Publicité | Posté le 16-08-2016 à 20:38:37 ![]() ![]() |
NOMDI | Fais gaffe à ta ligne SKOL ! |
dede508 | d'ailleurs s'il y a des gens intéréssés, je vends un g3 ferrari (j'en ai deux) ayant la sécurité du thrermostat désactivée et des tourtières installées (voire sur leboncoin); |
NOMDI | Le P134H permet d'aller très loin mais il faudra tout de même que tu le prépares un peu (biscotto, bypass...).
|
rafbor |
--------------- RafCalc - BdArtLibrairie: gestion des ventes d'albums BD |
Skol |
|
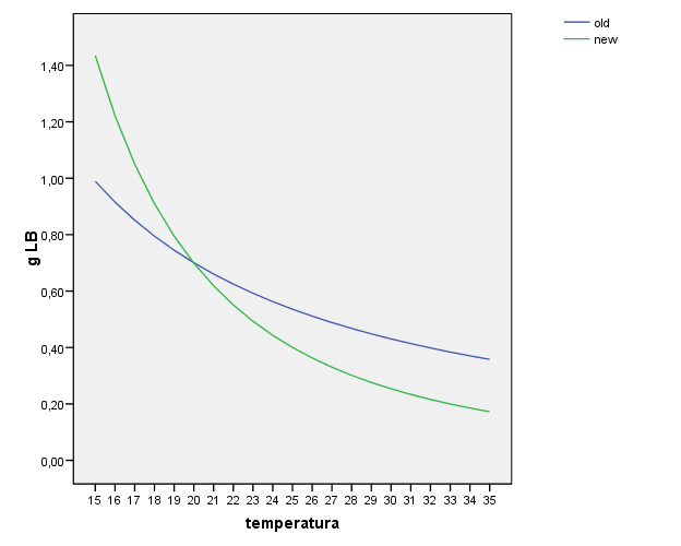
rafbor | Nouvelle version de TEST de RafCalc disponible, elle implémente la nouvelle formule de LaConfraternità adaptée aux températures élevées (au delà de 20°C, la quantité de levure diminue progressivement par rapport à l'ancienne, et inversement, elle augmente en dessous de 20°C) Message cité 1 fois Message édité par rafbor le 18-08-2016 à 20:28:27 --------------- RafCalc - BdArtLibrairie: gestion des ventes d'albums BD |
remchar Bee's Powâaaaa | au fait, Da Margherita est fermé pour travaux jusqu'au 29 août. |
Publicité | Posté le 18-08-2016 à 16:10:59 ![]() ![]() |
aleceiffel |
|
NOMDI | Je pensais à ça :
|
NOMDI | Tu as le choix pour la puissance...
|
meloblink |
|
rafbor |
--------------- RafCalc - BdArtLibrairie: gestion des ventes d'albums BD |
13irdy | Le contenu de ce message a été effacé par son auteur |
Jansma | Je comprends pas trop pourquoi vous vous prenez la tête avec ces caves. Croyez-vous que les napolitains - chez qui il doit faire bien plus chaud qu'à Bordeaux ou Paris - s'amusent à fabriquer des caves pouvant contenir 500 pâtons ou plus ? Moi je fais toujours ma maturation à TA mais au lieu de baser sur 24 ou 36 h c'est du 10 H à 26° tout simplement (5h en vrac+5h en pâtons voire 4h). Par contre si en hiver je suis à 64% d'hydratation, là c'est du 70 % et pour la levure sur pizza2calc je suis japi et non daiconen. Eau du frigo, farine du frigo. Sel du frigo. Non je déconne. Je vous assure que le résultat est nettement supérieur à ce que j'obtiens en hiver pendant 24 h à 18° ! Vive l'été et les grosses chaleurs ! Bon, après c'est vrai que si on fait des pizzas en semaine et qu'on travaille c'est un peu compliqué. Cette technique est bonne pour le week-end ou pour les glandeurs qui ne travaillent pas (comme moi). Message cité 1 fois Message édité par Jansma le 20-08-2016 à 08:23:43 |
falaenthor Long Long Man |
--------------- Col Do Ma Ma Daqua |
vr6 | ou acheter un ggf micro au moins cher en ce moment? |
rafbor |
--------------- RafCalc - BdArtLibrairie: gestion des ventes d'albums BD |
Jansma |
Message cité 1 fois Message édité par Jansma le 20-08-2016 à 10:17:07 |
rafbor |
--------------- RafCalc - BdArtLibrairie: gestion des ventes d'albums BD |
gsans Slow food... slow.... | Je ne suis pas vraiment sur que les napolitains pratiquent un pétrissage long... bien au contraire....
Message édité par gsans le 20-08-2016 à 14:16:15 --------------- My epic Food and Neapolitan Pizza Skills |
gsans Slow food... slow.... | Mais je ne comprend pas ton truc de "blanchissement" de la pâte.... Je ne me suis jamais préoccupé de savoir si ma pâte serait blanche ou blanche crème....
Message édité par gsans le 20-08-2016 à 14:27:22 --------------- My epic Food and Neapolitan Pizza Skills |
NOMDI | Comprends moi bien. Moi aussi je me moque de la couleur de la pate. Mais je constate simplement qu'une pate super blanche ne s'obtient qu'avec un pétrissage intensif ... et que chez les napolitains elle est toujours super blanche...
Message cité 1 fois Message édité par NOMDI le 20-08-2016 à 15:06:35 |
Jansma |
Message édité par Jansma le 20-08-2016 à 15:10:12 |
gsans Slow food... slow.... | Si tu le dis Nomdi... Message édité par gsans le 20-08-2016 à 15:21:09 --------------- My epic Food and Neapolitan Pizza Skills |
gsans Slow food... slow.... | Pourquoi je fais l’autolyse ? :
Message cité 1 fois Message édité par gsans le 20-08-2016 à 15:30:34 --------------- My epic Food and Neapolitan Pizza Skills |
NOMDI | Parfaitement d'accord. Pour moi aussi l'autolyse a été la révélation et je ne reviendrai pas en arrière.
|
gsans Slow food... slow.... |
Message édité par gsans le 20-08-2016 à 15:34:57 --------------- My epic Food and Neapolitan Pizza Skills |
Publicité | Posté le ![]() ![]() |






