| |||||
| Auteur | Sujet : COVID-19 - sa vie, son œuvre |
|---|---|
barnabe | Reprise du message précédent :
|
Publicité | Posté le 02-05-2020 à 12:25:02 ![]() ![]() |
nikolatesla00 |
|
warmastercs | La fermeture des plages pour le coup me semble logique a l’échelle nationale. Oui c'est un sacrifice pour les locaux mais quand vous allez demander a l'ile de France de rester confiné encore 1 mois et que en boucle a la TV passeront des gens en train de se baigner etc... Je vous souhaite bien du courage pour le respect du confinement et après faudra pas venir se plaindre que les parisiens débarquent sur les plages coute que coute. Globalement il ne peut pas y avoir trop d’écart entre les régions sinon ça sera intenable pour la population. Message cité 8 fois Message édité par warmastercs le 02-05-2020 à 12:25:23 --------------- un sabre est une arme. le kenjutsu, une technique de mort. Peu importent les bonnes intentions, c'est la seul vérité. On tue pour protéger. On tue pour que d'autres vivent. C'est ca, la vérité du sabre. |
dopador |
|
ddlabraguette |
|
Killall-9 +on&2foo... |
Message cité 1 fois Message édité par Killall-9 le 02-05-2020 à 12:28:24 |
AmiralAckbar Bad seed |
Urgences =/= Réanimation. --------------- “Ne prenez pas la vie au sérieux ; de toute façon, vous n'en sortirez pas vivant.” |
Profil supprimé | Posté le 02-05-2020 à 12:28:24 ![]()
|
barnabe |
|
Tolor ModérateurMais heu... |
|
Publicité | Posté le 02-05-2020 à 12:28:28 ![]() ![]() |
spacex Space commando is in da place |
|
Gallagh First |
Si je peux me balader sur la plage, j'peux t'assurer que je m'en tamponne les amygdales des parisiens ou alsaciens qui auront plus de restrictions sous prétexte qu'ils sont plus touchés. |
Ibo_Simon |
|
dopador |
|
MikeSab21 |
Oui mais on peut se retenir d'y aller à 9h le jour de première ouverture. |
Fredouye Shivers ! |
--------------- Le dernier arrivé est fan de Phil Collins |
nakata frog game |
|
PlayTime |
|
ftikai |
|
morb |
|
Youkoulele17 Slow and steady wins the race |
|
morb |
|
ddlabraguette |
Message édité par ddlabraguette le 02-05-2020 à 12:39:38 |
totten15 |
|
PlayTime |
|
AmiralAckbar Bad seed |
Message cité 1 fois Message édité par AmiralAckbar le 02-05-2020 à 12:42:51 --------------- “Ne prenez pas la vie au sérieux ; de toute façon, vous n'en sortirez pas vivant.” |
Jahaa_sv |
Pire argument ever. J espere qu'il ne sera jamais mis en avant par un politique. |
papoufe |
|
TheMiz Chatouilleur de smartphone |
--------------- Ma clé du bonheur: Si vous souriez a la vie la vie vous sourira |
PlayTime |
|
ddlabraguette |
|
chris_lo crisse l'eau ! |
|
ddlabraguette |
Message cité 3 fois Message édité par ddlabraguette le 02-05-2020 à 12:46:17 |
Ali-Pacha AW |
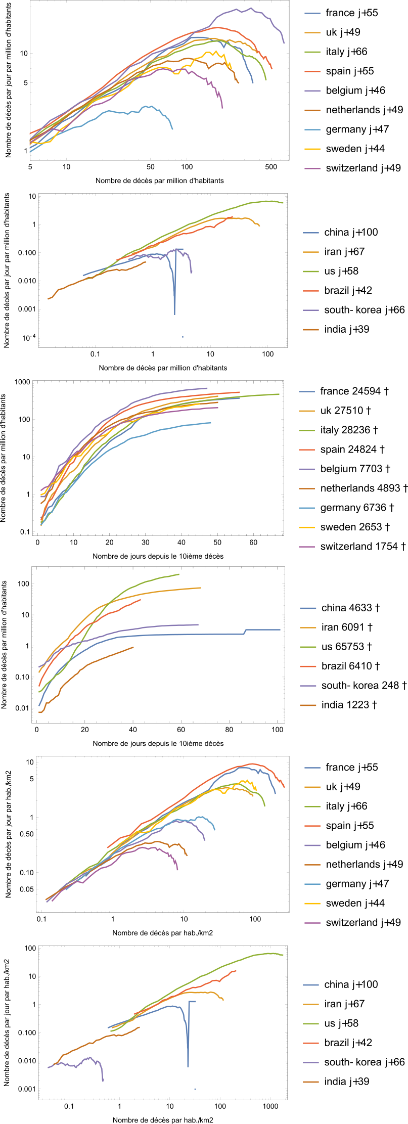
C'est pour ça que j'écris "pour l'instant". Ces graphes / raoult peuvent très bien avoir raison, comme ils peuvent se planter complètement. Pour l'instant, on n'en sait rien.
|
warmastercs |
Message édité par warmastercs le 02-05-2020 à 12:45:54 --------------- un sabre est une arme. le kenjutsu, une technique de mort. Peu importent les bonnes intentions, c'est la seul vérité. On tue pour protéger. On tue pour que d'autres vivent. C'est ca, la vérité du sabre. |
Ali-Pacha AW |
Puisqu'on te dit que ce n'était pas possible et qu'un confinement généralisé est plus efficace qu'un confinement ciblé.
|
Killall-9 +on&2foo... |
|
orodreths Donkey pue du cul |
--------------- #TeamFirst |
Publicité | Posté le ![]() ![]() |






