| |||||
| Auteur | Sujet : [Topic unique] Renault |
|---|---|
alffir | Reprise du message précédent :
La seule différence c'est que la conversion AC-DC se fait dans le chargeur plutôt que dans la voiture, mais on ne gagne pas en rendement. Et faudrait changer d'abonnement pour profiter de la recharge rapide. Le meilleur compromis à domicile c'est le AC 7kW, qui passe sans triphasé et permet de remplir une batterie en HC la nuit, en récupérant plus de kWh que nécessaire pour la journée de 98% des gens. --------------- Il vaut mieux mobiliser son intelligence sur des conneries que mobiliser sa connerie sur des choses intelligentes. |
Publicité | Posté le 22-12-2024 à 11:43:39 ![]() ![]() |
jmb74 Miaou |
--------------- old feedback |
HipiPeep |
--------------- j'ai envie de lui envoyer une carte qui se déplie avec des paillettes roses dedans tellement il est chou (PdB) |
jmb74 Miaou |
--------------- old feedback |
Velocesuper |
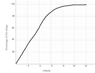
Pour mieux comprendre : Perso, je recharge jusqu'à 80-90%, ensuite la puissance de recharge chute trop. |
Augmented I don't sleep, I just dream | Un collègue de mon père charge sa Zoé R135 à 100% tous les jours, pour faire ses 50km quotidien. Message cité 1 fois Message édité par Augmented le 22-12-2024 à 13:26:41 --------------- Streets of Fire |
jln2 |
|
benos petit poney___ |
--------------- :o |
timmymeow Timmy! | Le triphasé ça peut avoir un avantage ? Je suis équipé à la maison (PAC et chauffe-eau). Savoir s'il faut que je demande à Zeplug de partir là-dessus pour la PHEV... |
HipiPeep |
--------------- j'ai envie de lui envoyer une carte qui se déplie avec des paillettes roses dedans tellement il est chou (PdB) |
Publicité | Posté le 22-12-2024 à 20:38:41 ![]() ![]() |
Eife Juste avant le .G - Topic de |
--------------- Topic de vente de trucs divers |
jmb74 Miaou |
--------------- old feedback |
DesuetCR_B |
|
benos petit poney___ |
--------------- :o |
jmb74 Miaou |
--------------- old feedback |
kikou2419 |
--------------- TU Nvidia Shield Android TV |
patrick22000 | "éviter de balancer des saloperies dans l'atmosphère ou les bronches des gens autour..." c'est sûr que localement c'est un progrès. La pollution générée par les VE est ailleurs. |
Augmented I don't sleep, I just dream | Essence, tant que ce sera abordable. Avec mon 1.0L Kia injection indirecte de 2023, je suis tranquille pour 20 ans. Message cité 1 fois Message édité par Augmented le 23-12-2024 à 12:02:15 --------------- Streets of Fire |
kikou2419 |
--------------- TU Nvidia Shield Android TV |
seianec |
Ce n'est pas parce que la merde se passe en Afrique qu'elle n'existe pas. Le VE c'est bien pour la pollution LOCALE, pour le portefeuille à la recharge, le confort aussi je peux comprendre mais c'est tout. Au global, ce n'est pas spécialement écologique... Perso je ne vais pas jeter ma Laguna parfaitement fonctionnelle à la casse, ça ça serait de la pollution inutile. Message cité 3 fois Message édité par seianec le 23-12-2024 à 13:21:01 |
Velocesuper |
|
alffir |
--------------- Il vaut mieux mobiliser son intelligence sur des conneries que mobiliser sa connerie sur des choses intelligentes. |
seianec | Je suis totalement conscient que ma voiture pollue et n'est pas vertueuse. La technologie a déjà évolué certes, mais il y a encore beaucoup à faire, et tous les "vieux" VE qu'on voit rouler actuellement ne sont pas concernés du coup, cas d'ancienne techno. Encore une fois, roulez en VE c'est très bien (et j'aimerais bien aussi, peut-être une fois la Laguna HS d'ailleurs). Mais je serai honnête, je ne le ferai pas par écologie et bonté d'âme, je le ferai parce que j'aurai eu peu de surcoût par rapport à un équivalent thermique/hybride, que c'est sympa à rouler en daily, et qu'une fois le crédit payé, le "carburant" n'est pas cher (et encore, quand on sera tous aux VE, il faudra bien compenser les taxes sur l'essence hein) Message cité 1 fois Message édité par seianec le 23-12-2024 à 13:38:55 |
HipiPeep |
--------------- j'ai envie de lui envoyer une carte qui se déplie avec des paillettes roses dedans tellement il est chou (PdB) |
seianec |
|
seianec | 2 choses qui me titillent sur ton document:
|
alffir |
--------------- Il vaut mieux mobiliser son intelligence sur des conneries que mobiliser sa connerie sur des choses intelligentes. |
Velocesuper |
Message cité 3 fois Message édité par Velocesuper le 23-12-2024 à 17:46:18 |
jln2 |
|
patrick22000 |
|
Augmented I don't sleep, I just dream | Faux problème avec le nucléaire. Les déchets dont on doit vraiment se soucier, ceux à forte activité, il y en a en fait pas tant que ça, surtout par rapport à tout ce que ces centrales ont produit (et il faut pas oublier tout le charbon qu'on a pas brulé grâce à elles, charbon qui aurait rejeté plein de joyeusetés radioactives directement dans l'atmosphère) Et l'enfouissement dans une couche stable est une très bonne solution. Car le problème sera réglé en un claquement de doigt à l'échelle des temps géologiques. Message édité par Augmented le 23-12-2024 à 18:14:54 --------------- Streets of Fire |
HipiPeep |
--------------- j'ai envie de lui envoyer une carte qui se déplie avec des paillettes roses dedans tellement il est chou (PdB) |
HipiPeep |
--------------- j'ai envie de lui envoyer une carte qui se déplie avec des paillettes roses dedans tellement il est chou (PdB) |
HipiPeep |
--------------- j'ai envie de lui envoyer une carte qui se déplie avec des paillettes roses dedans tellement il est chou (PdB) |
alffir |
--------------- Il vaut mieux mobiliser son intelligence sur des conneries que mobiliser sa connerie sur des choses intelligentes. |
paradise974 |
--------------- Mon feedback |
arylol | Ce topic devient trépidant |
Wolm | Parfois je prend ma meg1, je prend tres fort mes enfants dans les bras avant de les quitter pour toujours Message cité 2 fois Message édité par Wolm le 23-12-2024 à 20:09:53 --------------- la guerre c'est quand des vieux aigris font combattre entre eux des jeunes en colère, et moi j’étais très jeune et très en colère. Niko Bellic |
benos petit poney___ |
--------------- :o |
manisque |
--------------- Si tu bois froid juste après le potage chaud, ça va faire sauter l'émail de tes dents - Monorailcat iz ohverin |
Furorento |
|
Publicité | Posté le ![]() ![]() |






