| |||||
| Auteur | Sujet : [Topic Unique] Lampes Torches /!\ Addict! /!\ |
|---|---|
Winpoks | Reprise du message précédent : |
Publicité | Posté le 07-12-2020 à 21:15:57 ![]() ![]() |
niku viaggiando controvento | tu as acheté ou ? |
Winpoks | Naturabuy, le seul site ou j’en ai trouvé d’ailleurs. |
niku viaggiando controvento |
niku viaggiando controvento | merci wimpoks |
fdaniel ModérateurHave you got a 27B/6 ? |
--------------- Topic des restos / Topic des boutiques gastronomiques |
Charles K |
Oui, avec exemple que j’avais cité et toi aussi : https://forum.hardware.fr/forum2.ph [...] #t60201965 Petzl c’est pareil sur ma Myo RXP, un truc qui coûtait 80~100€, c’est juste une resistance et des niveaux reduis par PWM, rendement pourri et éclairage qui diminue avec la décharge de l’accu, inadmissible pour le prix mais à l’époque j’y connaissais rien, heureusement après ça j’ai découvert Zebralight. D’ailleurs la nitecore NU25 c’est pareil : https://zeroair.org/2019/03/18/nite [...] mp-review/ Ce qui est surprenant de la part Nitecore car d’habitude ils utilisent plutôt des convertisseurs buck (bien) je crois. Pour les autres nu30, 35...etc je sais pas vu que je ne trouve pas de vrais tests. Après sans parler de rendement et régulation, je trouve très dommage d’acheter des lampes jetables (pour la nu25), l’accu n’est pas remplaçable donc quand il est mort bah poubelle, encore du déchet. AMA les lampes de ce type ne sont valables que pour le sport, l’accu li-ion prismatique intégré permet de faire une lampe compacte et légère qui ne balance pas du tout lors de la course à pied. Perso j’ai toujours bien aimé les zebralight, avec accus 18650, ou AA, ils en font avec faisceau ”floody” qui va éclairer large. Mais qu’est ce que ”un truc sans pile veut dire” exactement ?
Avec chargeur intégré et format réduit il y a la Skilhunt H04 RC mini par exemple. J’utilise beaucoup la mienne (non mini, mais transformée en mini avant que la mini existe) Message édité par Charles K le 08-12-2020 à 00:02:36 |
mikamika | C'était un hfrien qui avait cette boutique il me semble, il l'a fermée il y a quelques mois (années ?). |
vincez |
|
Publicité | Posté le 08-12-2020 à 00:01:59 ![]() ![]() |
mikamika |
vincez |
mikamika | moins de 150 messages en 20 ans, ce lurker de compét' |
Charles K | 2.9 ounces c'est ce que j'avais vu aussi, d'après google c'est 82g |
H@wk The King of Cool | Pour continuer sur les frontales, je suis allé me balader de nuit avec ma Zebralight H52w et même si j'aime bien sa taille et son poids, elle commence à faire léger si je peux dire --------------- VDS : Objectif Canon EF 16-35mm | Casque Plantronics |
Charles K |
Vers zéro degré la résistance interne de l’accu augmente pas mal ce qui fait chutter la tension , si t’as lancé le turbo avec l’accu froid. L’age augmente aussi la résistance, les 14500 d’il y a quelques années n’étaient pas très performant non plus tant en courant (résistance) et capacité, de plus s’il est protégé c’est encore plus de résistance. Avec des accus récents comme un Vapcell H10 de 1000mAh et faible résistance ça devrait faire une bonne différence (mais je sais pas si les h52 ont une protection basse tension qui permettrait d’utiliser des accus non protégés), si la lampe est gardée dans une poche chaude avant d’allumer c’est mieux aussi (ce qui est valable pour toute lampe à accu li-ion) Mais si t’en es plus satisfait Edit : dans tous les cas le turbo est limité à une minute, mais avec une lampe de cette taille c’est pas facile de faire beaucoup mieux. Un bug assurément, elle m’ a fait un truc du genre une fois. Message cité 1 fois Message édité par Charles K le 09-12-2020 à 13:43:39 |
H@wk The King of Cool |
--------------- VDS : Objectif Canon EF 16-35mm | Casque Plantronics |
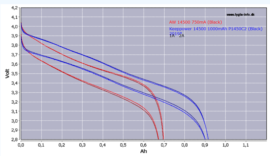
Charles K | j'avais vu une video sur youtube avec une H53 et 14500 et ça marchait, mais on sait pas si ça va pas abimer la lampe à la longue, s'il y a une bonne regulation, rendement, protection basse tension... Pour les accus protégés le meilleur va être le keeppower P1450C2 (le C3 est basé sur un accu avec un peu plus de capacité ~1050mAh mais resistance interne un peu plus haute) :
Courbes 1 et 2 A, la H52w doit tirer dans les 1.5A environ en turbo. Mais pour le froid t'auras de meilleure performance avec un non protégé H10 :
Mais faut tester si la lampe a une protection basse tension avant (pas vu l'info) Message cité 1 fois Message édité par Charles K le 09-12-2020 à 20:44:03 |
H@wk The King of Cool |
--------------- VDS : Objectif Canon EF 16-35mm | Casque Plantronics |
Charles K | retrouvé la video : https://www.youtube.com/watch?v=oBr [...] tu.be&t=62
|
claudedelyon | --------------- Ventes Hardware: http://forum.hardware.fr/forum2.ph [...] w=0&nojs=0 |
gsx33 Make France great again |
--------------- Dans la vie,il y a l'air et la chanson |
claudedelyon | Ok merci je cherche de ce côté là --------------- Ventes Hardware: http://forum.hardware.fr/forum2.ph [...] w=0&nojs=0 |
Rmi2684 |
|
niku viaggiando controvento | Vous connaissez un truc qui ressemblerait à ca |
Dakans pouet pouet | ajoute ”usb” a ta recherche --------------- Mieux vaut se taire et passer pour un con que de l'ouvrir et ne laisser aucun doute sur le sujet. (Coluche) |
niku viaggiando controvento |
|
Charles K | Quasi toutes les lampes/frontales angle droit ont des clips fournis avec pour les accrocher sur une veste/sac (enfin faut verifier quand même) : http://flashlights.parametrek.com/ [...] e,headlamp Vu la description de l’utilisation il va pas avoir besoin d’autant de puissance, et la TH30 est quand même très lourde pour une frontale (123g sans accu) (Edit : ok c’est pas la même personne que celle (Claudelyon) qui posait la question dans la citation, ducoup la suite n’est pas pertinente)
Il y a une version 18350 ”mini”, plus petite, même poids vide mais l’accu fait ~25g), j’utilise beaucoup la mienne. 3 fois moins d’autonomie, m’enfin c’est comparé à un 18650 qui a beaucoup d’énergie. Les 2 ont des clips En AA t’as les Zebralight H53, ou bien Manker E03H II qui est pas mal du tout et moins cher, juste le bandeau aurait pu être plus stable, j’utilise un de H53 à la place. Idem il y a des clips. Message édité par Charles K le 13-12-2020 à 15:06:08 |
niku viaggiando controvento | tu achetes ou ces references pour les avoir rapidement, ca renvoie vers des sites en dollard ou aliexpress |
Charles K |
Avant Skilhunt était distribué par Nkon mais plus maintenant, donc ouai c’est soit le site skilhunt ou bien vendeur chinois, manker idem, Zebralight c’est zebralight direct, ou bien Nkon mais peu de stock en ce moment... bref effectivement pour avoir quelque chose rapidement c’est pas ça.
T’as essayer de voir sur parametrek ? Mais blanc chaud +rouge il n’y a pas de résultats à part une nitecore assez grosse (truc de sécurité intrinsèque) Quelle température de couleur tu veux dire avec lumière très chaude ? 2700K ? Avec blanc neutre il y a quelques résultats : http://flashlights.parametrek.com/ [...] white,red Message cité 1 fois Message édité par Charles K le 14-12-2020 à 14:08:22 |
kwartz le sale nitos |
|
Profil supprimé | Posté le 15-12-2020 à 16:26:48 ![]() Bah la laniere est noire, la lampe est grise |
Publicité | Posté le ![]() ![]() |

| Sujets relatifs | |
|---|---|
| [sujet unique] RIS police scientifique | [Topic unique] Section Auto/moto : les topic les plus interessants |
| [Musique électronique] Topic *Core : Hard/Speed/Noize and more | [Topic Unik] Louise Attaque |
| [Topic Unique] Recensement des Hfriens qui partent bientôt en voyage | [ Topic Unique ] Les voitures de années 1980-1990 |
| [Topic vaguement unique] RATP tout court | |
| Plus de sujets relatifs à : [Topic Unique] Lampes Torches /!\ Addict! /!\ | |





