| |||||
FORUM HardWare.fr

Discussions

Sports

[Topikunik] Montres / GPS / applications sportif / Quantified Self| Auteur | Sujet : [Topikunik] Montres / GPS / applications sportif / Quantified Self |
|---|---|
Publicité | Posté le 01-02-2021 à 16:57:22 ![]() ![]() |
iVador |
|
spooooocky Made in Marseille |
vbdc ex. troubleshooting expert :/ |
--------------- Organisateur de wall of death pour vos bar mitsva et baby shower. |
spooooocky Made in Marseille |
vbdc ex. troubleshooting expert :/ |
Message cité 3 fois Message édité par vbdc le 01-02-2021 à 20:22:06 --------------- Organisateur de wall of death pour vos bar mitsva et baby shower. |
Je@nb Kindly give dime |
|
Profil supprimé | Posté le 02-02-2021 à 13:56:37 ![]() Niveau appli claquée la tomtom est pas mal aussi Message cité 2 fois Message édité par Profil supprimé le 02-02-2021 à 13:56:53 |
lestat67sel :-) |
|
Publicité | Posté le 03-02-2021 à 22:39:32 ![]() ![]() |
vbdc ex. troubleshooting expert :/ |
Message cité 1 fois Message édité par vbdc le 04-02-2021 à 09:21:28 --------------- Organisateur de wall of death pour vos bar mitsva et baby shower. |
Atlantis Enfin de retour au SOLEIL !! | retour d'info après une semaine avec la coros pace 2. Message cité 1 fois Message édité par Atlantis le 04-02-2021 à 15:08:11 --------------- "Il n’y a rien de noble à être supérieur à vos semblables. La vraie noblesse est d’être supérieur à celui que vous avez été auparavant." |
guezpard tracteur à pédales |
Message édité par guezpard le 04-02-2021 à 17:23:12 --------------- "C'est un asile de fous, pas un asile de cons … Faudrait construire des asiles de cons, mais, vous imaginez un peu la taille des bâtiments !" |
lestat67sel :-) |
|
volog | petite question j'ai un GPS garmin modele edge 820 ou 520 depuis 3 ans.
Message cité 1 fois Message édité par volog le 05-02-2021 à 09:03:09 |
vbdc ex. troubleshooting expert :/ |
--------------- Organisateur de wall of death pour vos bar mitsva et baby shower. |
lestat67sel :-) | Ah oui ok on a pas tous les même problème en plus |
dizzie |
|
lestat67sel :-) | Jamais réussi à faire fonctionner la synchro withing > myfitnesspall > garmin perso |
yggy Beamish for ever | Merci pour le retour !
|
toutsec | Oui ça se voit je pense, car la trace est très "lisse" |
vbdc ex. troubleshooting expert :/ |
--------------- Organisateur de wall of death pour vos bar mitsva et baby shower. |
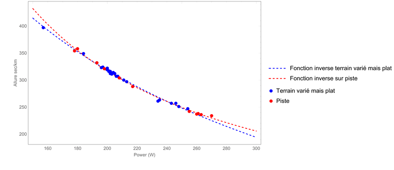
toutsec | J'ai lancé le mode piste dès le début de la séance. Tu te rends sur la piste et au bout d'un tour, la montre te dis que c'est Ok, elle a repéré la piste et c'est calibré. Il n'y a rien à faire Concernant la puissance, ce que je me dis c'est que que la valeur absolue mesurée, pour une allure donnée, par la montre n'est pas forcément juste mais sa variation en fonction de l'allure, elle, est juste. C'est ce que j'essaie de mesurer sur le graph Message cité 2 fois Message édité par toutsec le 06-02-2021 à 09:35:00 --------------- Premier Mondial sur Boinc! merci HFR :D |
zendb |
C'est exactement ça |
Corran Horn lol |
|
toutsec | Oui c'est ça. --------------- Premier Mondial sur Boinc! merci HFR :D |
vbdc ex. troubleshooting expert :/ |
Message édité par vbdc le 06-02-2021 à 21:03:16 --------------- Organisateur de wall of death pour vos bar mitsva et baby shower. |
vbdc ex. troubleshooting expert :/ |
--------------- Organisateur de wall of death pour vos bar mitsva et baby shower. |
zendb |
En même temps personne n'a besoin de toutes les fonctions d'une fenix 6 Vous faites quoi de plus avec ? |
Mountain Dew Son of Washington. |
--------------- ★ ★ ★ ★ ★ ★ ★ ★ |
nagash87 |
|
Kayou | T'as besoin de 100m quand tu fais de la planche ?! |
toutsec |
Message cité 2 fois Message édité par toutsec le 07-02-2021 à 18:29:43 |
Publicité | Posté le ![]() ![]() |

FORUM HardWare.fr

Discussions

Sports

[Topikunik] Montres / GPS / applications sportif / Quantified Self| Sujets relatifs | |
|---|---|
| Problème GPS C4 Picasso | d'où la necessité d'être sportif? |
| [TopikUnik]Lexus, The poursuit of perfection (+Toyota) | Actualizar GPS bluetech NVA-04310 |
| Les montres sans pile qui s'auto rechargent. | Topikunik Courses d'obstacles - récits, techniques, préparation |
| [Topikunik] Vos plus beaux Duos | coach sportif electronique FITBIT FLEX |
| [Série TV] Episodes | [Paris sportif] Questionnaire |
| Plus de sujets relatifs à : [Topikunik] Montres / GPS / applications sportif / Quantified Self | |


