| |||||
| Auteur | Sujet : COVID-19 - sa vie, son œuvre |
|---|---|
The NBoc Quo Modo Deum | Reprise du message précédent :
--------------- it is difficult to get a man to understand something when his salary depends on his not understanding it - La lecture est un stratagème qui dispense de réfléchir - Et les Shadocks pompaient, pompaient... |
Publicité | Posté le 22-04-2020 à 11:07:25 ![]() ![]() |
Killall-9 +on&2foo... |
Message édité par Killall-9 le 22-04-2020 à 11:08:35 |
La Monne AdministrateurTu dois rompre. |
--------------- Lu et approuvé. |
papoufe |
|
format_c Plouf plouf ... | J'ai écouté les interventions de Raoult et j'ai beaucoup de mal à comprendre la logique de ce qu'il raconte.
--------------- Mes guitares, ampli, et effets sont en vente ! |
The NBoc Quo Modo Deum |
--------------- it is difficult to get a man to understand something when his salary depends on his not understanding it - La lecture est un stratagème qui dispense de réfléchir - Et les Shadocks pompaient, pompaient... |
M_D_C Etre aimé par des cons |
Backbone- Much to learn, you still have. |
zyx NCC - 1701 |
--------------- la manif des radicalisés au Trocadéro |
TheBigO ShowTime! |
--------------- HFR tools |
Publicité | Posté le 22-04-2020 à 11:12:14 ![]() ![]() |
Jakes Laminak |
--------------- Tu commenceras à comprendre, lorsque tu auras oublié tout ce que tu croyais comprendre jusque là. ECH/AV M42 |
Killall-9 +on&2foo... |
|
Profil supprimé | Posté le 22-04-2020 à 11:12:22 ![]()
Non mais c'est un troll. Mais tu arrives après la bataille. Raoult c'est finit depuis 15 jours. |
croustillou |
Il a le symptome de l'absence d'odorat du covid Message édité par croustillou le 22-04-2020 à 11:13:06 |
barnabe |
Message édité par barnabe le 22-04-2020 à 11:14:44 |
zyx NCC - 1701 |
--------------- la manif des radicalisés au Trocadéro |
bl0w |
PsyOps |
|
philosoraptor Is he still wrong ? |
|
Chips |
|
kremlin biceps |
--------------- “And by the way, I have only one word for snow … snow !” |
croustillou |
M_D_C Etre aimé par des cons |
--------------- RIP YOKO |
Ibo_Simon |
Message cité 2 fois Message édité par Ibo_Simon le 22-04-2020 à 11:18:57 |
Kiveu Carlos Irwin Estevez |
Oui ? et alors ?
Le fait que très tôt on ait demandé à tout le monde de se signaler dans les circuits de santé en cas de symptôme covid, modifie nécessairement cette statistique. Là où on avait 1 /100 (ou 1000) peut être qu'on est passé à un taux d'identification de la maladie de l'ordre de 5 ou 6 personnes /10 voire plus. Enfin c'est comme ça que j'explique le fait qu'il soit au fond pas surpris des chiffres qui dépassent ses premières prédictions, je dis pas que ça se tient ni que son ratio de 1/100 est réel. Message cité 1 fois Message édité par Kiveu le 22-04-2020 à 11:20:49 --------------- “The modern conservative is engaged in one of man’s oldest exercises in moral philosophy; that is, the search for a superior moral justification for selfishness.” |
Jambier |
|
chris_lo crisse l'eau ! |
Nico8101 |
--------------- "Désolé mais je n'ai confiance qu'en deux hommes... Le premier c'est moi et l'autre c'est pas vous." |
philosoraptor Is he still wrong ? |
|
M_D_C Etre aimé par des cons |
--------------- RIP YOKO |
kremlin biceps |
--------------- “And by the way, I have only one word for snow … snow !” |
nicls |
|
lokilefourbe |
--------------- |
NounourZ Bande de Pékore !!! |
-SkoM- | La sécurité zéro sera impossible de toute façon.
|
clarius Terribilis est locus iste |
--------------- .Si Vis Pacem.Para Bellum. |
Kromsson Low Frequency Version |
Ton résumé semble présenter le problème à l'envers. https://www.bbc.com/news/amp/techno [...] ssion=true D'autres pays euopéens s'orientent vers le système DP3T qui va fonctionner de manière décentralisée et utiliser les fonctions bluetooth proposées par Google et Apple pour justement pouvoir fonctionner en background. L'article ci-dessus semble indiquer que le problème est que la solution française cherche à récolter trop de données... |
clarius Terribilis est locus iste |
--------------- .Si Vis Pacem.Para Bellum. |
The NBoc Quo Modo Deum |
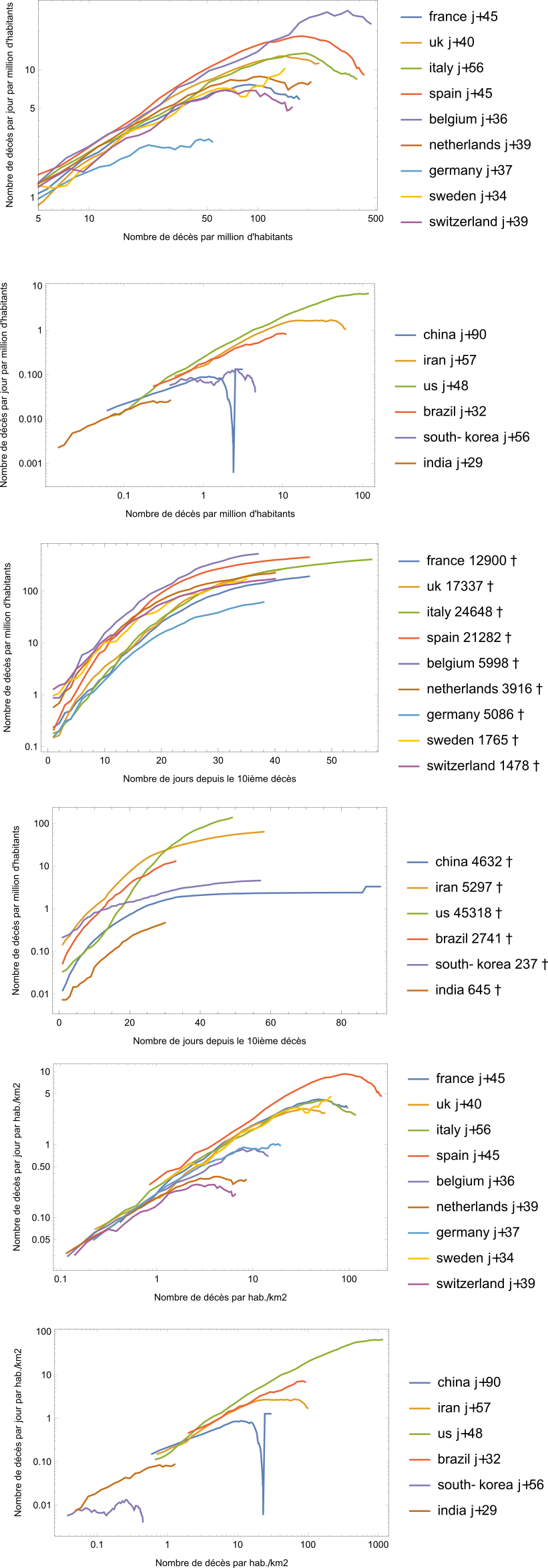
La quantité de biais est considérable derrière les chiffres macros dont on nous abreuve tous les soirs à 19h. Biais de collecte, biais de ruptures de séries, biais d'évolution de la quantité de tests et de leur stratégie d'utilisation, biais de changements de doctrine d'identification des décédés non testés, etc, etc. Tout ceci plus le fait que les hospitalisations et les décès arrivent jusqu'à des semaines après l'infection, donc gros retard de ces chiffres par rapport à la circulation réelle de l'épidémie. (page 17 et 18 de ce truc pour se rendre compte du genre d’hypothèses que font les épidémio sur ces paramètres : : https://www.imperial.ac.uk/media/im [...] ort-13.pdf ) C'est pour ces raisons que parmi les données dont le public dispose (nous, donc), j'ai l'impression que le plus intéressant à regarder pour la France c'est ceci : https://www.sentiweb.fr/france/fr/? [...] calendrier Perso, je croise les doigts pour que les données de la semaine 16 soient sur la même tendance baissière que celles de la semaine 15. Message cité 1 fois Message édité par The NBoc le 22-04-2020 à 11:30:14 --------------- it is difficult to get a man to understand something when his salary depends on his not understanding it - La lecture est un stratagème qui dispense de réfléchir - Et les Shadocks pompaient, pompaient... |
Pzu |
|
Publicité | Posté le ![]() ![]() |






