Forum |  HardWare.fr | News | Articles | PC | S'identifier | S'inscrire | Shop Recherche
3284 connectés 

 

 

 Mot :   Pseudo :  
  Aller à la page :
 
 Page :   1  2  3  4  5  ..  1710  1711  1712  ..  2414  2415  2416  2417  2418  2419
Auteur Sujet :

[Fusées] 2026.02.12 16h45 UTC • Ariane 64 VA267 • LE-01 • ELA4, CSG

n°62884835
Poogz
Sous les octets la plage (︶o︶)
Posté le 08-05-2021 à 18:12:34  profilanswer
 

Reprise du message précédent :


 
Donc à ± 15 min on fait 1/3 du globe :d


---------------
IG ٩(͡๏̯͡๏)۶ - The fact that there's a highway to hell, but only a stairway to heaven says a lot about anticipated traffic numbers
mood
Publicité
Posté le 08-05-2021 à 18:12:34  profilanswer
 

n°62884840
Toxin
Carpe ★★ Vitam
Posté le 08-05-2021 à 18:14:17  profilanswer
 


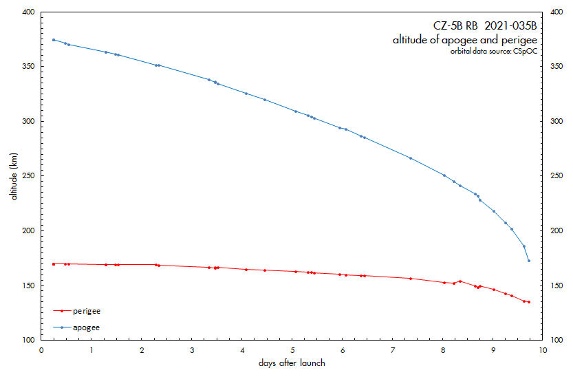
C'est une magnifique illustration de la mécanique orbitale. Pour agir sur un point le plus efficace est de faire la manœuvre sur le point opposé. Ici les frottements de l'air sont maximaux au périgée, c'est donc l'apogée qui trinque et le périgée n'est que faiblement impacté par le contraire :)

Message cité 1 fois
Message édité par Toxin le 08-05-2021 à 18:19:00

---------------
"If you can walk away from a landing, it's a good landing. If you use the airplane the next day, it's an outstanding landing." - Chuck Yeager. | Chaîne YT | Photos
n°62884875
Perceval_D​e_Galles
Nonocourge / TredecPouPou
Posté le 08-05-2021 à 18:21:16  profilanswer
 

D13 !


---------------
Appuyez vous sur les principes ils finiront bien par céder.
n°62884920
Black_Pant​her
Problem Killer
Posté le 08-05-2021 à 18:25:33  profilanswer
 

Exactement  :jap:  
Une "chance" qu'il soit à ce périgée, si il était beaucoup plus haut, il aurait trainé là-haut encore longtemps :/


---------------
"Le but n'est pas le but, c'est la voie." Lao-Tseu
n°62884926
Toxin
Carpe ★★ Vitam
Posté le 08-05-2021 à 18:26:15  profilanswer
 

Allez soyons joueurs, E21.


---------------
"If you can walk away from a landing, it's a good landing. If you use the airplane the next day, it's an outstanding landing." - Chuck Yeager. | Chaîne YT | Photos
n°62884970
Toxin
Carpe ★★ Vitam
Posté le 08-05-2021 à 18:31:23  profilanswer
 

Black_Panther a écrit :

Exactement :jap:
Une "chance" qu'il soit à ce périgée, si il était beaucoup plus haut, il aurait trainé là-haut encore longtemps :/


Ça me fait me demander d'ailleurs, si Hubble tombait en panne, je ne sais combien de temps ça prendrait avant qu'il ne retombe...
Les simulateurs que je connais s'arrêtent à 500km.


---------------
"If you can walk away from a landing, it's a good landing. If you use the airplane the next day, it's an outstanding landing." - Chuck Yeager. | Chaîne YT | Photos
n°62884993
Argawaen
Posté le 08-05-2021 à 18:33:57  profilanswer
 

Pzu a écrit :

https://rehost.diberie.com/Picture/Get/f/39989
 
Je prends une option sur E20.  
Il est inévitable que l'humanité subira un jour un Colony Drop, et par définition, c'est sur Sidney :o
 


 
B3 :o


---------------
« Before we work on artificial intelligence why don’t we do something about natural stupidity? » Steve Polyak
n°62885095
20Boy
muck rocket such wow
Posté le 08-05-2021 à 18:49:27  profilanswer
 

StanCW a écrit :

y'a des chances de le voir dans le ciel Français bas vers l'horizon je suppose orienté sud ?


 
Trop bas nan ?
 
Ya 1500 km jusqu'à suez, même à 200 de haut ça fait loin :D
 
Après j'en sais rien :o

n°62885323
artiflo
Un est tout, tout est un.
Posté le 08-05-2021 à 19:25:25  profilanswer
 

C21

n°62885353
Black_Pant​her
Problem Killer
Posté le 08-05-2021 à 19:28:37  profilanswer
 

Il faudrait qu'il tape contre quelques chose pour qu'il dévie d'autant ... sur un avion d'Emirates :o
Mine de rien la proba est faible, mais si ce débris frôle un liner ça peut faire de belles images [:cend]

Message cité 1 fois
Message édité par Black_Panther le 08-05-2021 à 19:29:25

---------------
"Le but n'est pas le but, c'est la voie." Lao-Tseu
mood
Publicité
Posté le 08-05-2021 à 19:28:37  profilanswer
 

n°62885452
SCEtoAUX
413 is in.
Posté le 08-05-2021 à 19:44:01  profilanswer
 

Toxin a écrit :


C'est une magnifique illustration de la mécanique orbitale. Pour agir sur un point le plus efficace est de faire la manœuvre sur le point opposé. Ici les frottements de l'air sont maximaux au périgée, c'est donc l'apogée qui trinque et le périgée n'est que faiblement impacté par le contraire :)


 
Yep, d'où le fait que les orbites autour d'une planète/lune avec atmosphère ont tendance à se circulariser naturellement.


Message édité par SCEtoAUX le 08-05-2021 à 19:44:55

---------------
Above all, rating a spacecraft is more than a set of requirements, a process, or a certification. It involves a mindset, instilled by leadership, where each person feels personally responsible for their piece of the design and for the safety of the crew.
n°62885554
20Boy
muck rocket such wow
Posté le 08-05-2021 à 19:59:36  profilanswer
 

Black_Panther a écrit :

Il faudrait qu'il tape contre quelques chose pour qu'il dévie d'autant ... sur un avion d'Emirates :o
Mine de rien la proba est faible, mais si ce débris frôle un liner ça peut faire de belles images [:cend]


 
Faut du réflexe pour la photo si ça passe trop près :D

n°62885574
Black_Pant​her
Problem Killer
Posté le 08-05-2021 à 20:02:33  profilanswer
 

20Boy a écrit :


 
Faut du réflexe pour la photo si ça passe trop près :D


Un film au dessus des nuages et hop  :D


---------------
"Le but n'est pas le but, c'est la voie." Lao-Tseu
n°62885736
chinois02
Posté le 08-05-2021 à 20:28:14  profilanswer
 

E18 Dalian
Ce rod from god va couler leur propre porte avion.


---------------
N'importe qui peut voir ce que tu sembles être; quelques rares seulement peuvent tâter ce que tu es. Et ces derniers n'osent contredire l'opinion du grand nombre, renforcée par toute la majesté de l'État. Machiavel-Le Prince.
n°62885798
Black_Pant​her
Problem Killer
Posté le 08-05-2021 à 20:39:55  profilanswer
 

Mise à jour à 20h30 :
 
Paris Time : 2021-05-09 04:32 ±139 minutes
 
https://www.eusst.eu/newsroom/eu-ss [...] ry-cz5brb/
 
Spoile sinon ça va être méga sheat pour le jeu  :D  

Spoiler :

 
https://www.eusst.eu/wp-content/uploads/2021/05/GroundTrack_B.png


 
Plus aucune chance de retour à l'envoyeur en tout cas :o
 
Sinon

Citation :

Object CZ-5B R/B has an estimated mass ranging from 17 to 22 tonnes and a size of about 30 m,


Message édité par Black_Panther le 08-05-2021 à 20:51:10

---------------
"Le but n'est pas le but, c'est la voie." Lao-Tseu
n°62885842
mxpx
----
Posté le 08-05-2021 à 20:50:25  profilanswer
 

Ça doit commencer à transpirer

n°62885850
Black_Pant​her
Problem Killer
Posté le 08-05-2021 à 20:53:06  profilanswer
 

Les trais rouge sont les zones possible dans l'espace Européen  :sweat:


---------------
"Le but n'est pas le but, c'est la voie." Lao-Tseu
n°62885853
manuleluti​n
Posté le 08-05-2021 à 20:53:43  profilanswer
 

He ben.
Ca va valoir le coup de sortir sur la terrasse ce soir tiens.

n°62885857
Black_Pant​her
Problem Killer
Posté le 08-05-2021 à 20:54:55  profilanswer
 

Demain matin tu veux dire ?  :D


---------------
"Le but n'est pas le but, c'est la voie." Lao-Tseu
n°62885868
mxpx
----
Posté le 08-05-2021 à 20:57:13  profilanswer
 

Je commence le taff à 4h50 j’irais prendre mon café dehors. Faut regarder le ciel à quelle heure ?

n°62885937
manuleluti​n
Posté le 08-05-2021 à 21:09:44  profilanswer
 

Black_Panther a écrit :

Demain matin tu veux dire ?  :D


Ouais. Bon. je vais dormir plutot  :o

n°62886424
Black_Pant​her
Problem Killer
Posté le 08-05-2021 à 21:47:40  profilanswer
 

Évidement tous les appareils vont devoir se dérouter cette nuit de ces zones identifiés :o


---------------
"Le but n'est pas le but, c'est la voie." Lao-Tseu
n°62886934
mxpx
----
Posté le 08-05-2021 à 22:35:02  profilanswer
 

Les sites de suivis down ^^.

n°62886998
gremi
Vieux con des neiges d'antan
Posté le 08-05-2021 à 22:42:49  profilanswer
 

Tombé sur un datacenter OVH ? :o


---------------
In aligot we trust.
n°62887189
epsiloneri​dani
Posté le 08-05-2021 à 23:04:20  profilanswer
 

Je vois que Boca Chica est dans les sites d'atterrissage possible pour le Longue Marche   [:turbocat:1]

n°62887241
e-TE
Posté le 08-05-2021 à 23:09:47  profilanswer
 

Pzu a écrit :

https://rehost.diberie.com/Picture/Get/f/39989
 
Je prends une option sur E20.  
Il est inévitable que l'humanité subira un jour un Colony Drop, et par définition, c'est sur Sidney :o
 


 
je voulais C4 pour le coté explosif :o mais ca semble cuit pour ce secteur là [:joce]

n°62887322
mxpx
----
Posté le 08-05-2021 à 23:18:52  profilanswer
 

Y a un live ou l'on peut suivre le bouzin ?

n°62887382
Black_Pant​her
Problem Killer
Posté le 08-05-2021 à 23:27:47  profilanswer
 

Failed to connect to MySQL: Too many connections [:airforceone]  
https://www.n2yo.com/satellite/?s=48275


---------------
"Le but n'est pas le but, c'est la voie." Lao-Tseu
n°62887545
Black_Pant​her
Problem Killer
Posté le 08-05-2021 à 23:49:07  profilanswer
 

Crédible : https://youtu.be/_6UDMQrIjhU
Un peu moins.... https://youtu.be/tjEfpRAt0MA


---------------
"Le but n'est pas le but, c'est la voie." Lao-Tseu
n°62887562
nicko
Posté le 08-05-2021 à 23:56:34  profilanswer
 

L'étage photographié par un satellite Russe :

 

https://twitter.com/Rogozin/status/ [...] 56996?s=19

n°62887594
Black_Pant​her
Problem Killer
Posté le 09-05-2021 à 00:09:19  profilanswer
 

Ça se précise...

 

https://pbs.twimg.com/media/E05R_eWXEAIXAQ-?format=jpg

 

Possible qu'il fasse plouf... 84% de chance

 

https://mobile.twitter.com/meithan4 [...] 5727206403


Message édité par Black_Panther le 09-05-2021 à 00:12:09

---------------
"Le but n'est pas le but, c'est la voie." Lao-Tseu
n°62887642
Black_Pant​her
Problem Killer
Posté le 09-05-2021 à 00:40:44  profilanswer
 

Australie : 3h04 de Lake Torrens en passant par Canberra jusqu'à Wellington vers 3h17 ensuite au dessus du Pacifique
Costa Rica : 3h44
Haiti : 3h47 puis au dessus de l'Atlantique
Braga, Portugal : 4h02
Valladolid, Espagne 4h03,  Reus
Oristano, Sardaigne ; Rosarno, Calabria, Italy; Kythira 4h08 Sitia, Crete;
Gaza 4h11 vers la Jordanie
Riyadh, Saudi Arabia 4h14
Dhofar, Oman 4h17
Océan indien
puis Perth 4h36
Tasmanie 4h43
Wellington 4h48
 


---------------
"Le but n'est pas le but, c'est la voie." Lao-Tseu
n°62887674
Black_Pant​her
Problem Killer
Posté le 09-05-2021 à 01:04:53  profilanswer
 

https://pbs.twimg.com/media/E05nTPLX0AYMDty?format=png
 [:muskelon:5]
https://1.bp.blogspot.com/-Y5aMKWo8_d8/YJcY-wThxsI/AAAAAAAAGxg/X-d8Jp9FQqY77AqvQH0HifnLAvbGUE1SgCNcBGAsYHQ/s835/CZ5B_reentrypredictions_det.png
Point à 1h...
 [:emotimusk2]
https://mobile.twitter.com/Marco_La [...] 4596129792


Message édité par Black_Panther le 09-05-2021 à 01:12:52

---------------
"Le but n'est pas le but, c'est la voie." Lao-Tseu
n°62887688
Argawaen
Posté le 09-05-2021 à 01:18:47  profilanswer
 

mxpx a écrit :

Y a un live ou l'on peut suivre le bouzin ?


 
Je regarde celui-là de temps en temps https://www.youtube.com/watch?v=29HGFep3Zek
Mais pas moyen de savoir si c'est fiable :(


---------------
« Before we work on artificial intelligence why don’t we do something about natural stupidity? » Steve Polyak
n°62887717
ZeMrHyde
té !
Posté le 09-05-2021 à 01:43:28  profilanswer
 

https://gitlab.com/BZHDeveloper/hfr/-/raw/master/twitter-logo.png Dr Marco Langbroek https://gitlab.com/BZHDeveloper/HFR/raw/master/emojis-micro/1f489.png #Vaccinate (@Marco_Langbroek) :

1/2
A last note, before really going to sleep:
as @cgbassa noted on the SeeSat list, the #CZ5B rocket might already start to develop a plasma tail (i.e. “glow”) at perigee pass (lowest point in orbit) during the last one or two orbital revolutions *before* the actual #reentry

 


https://gitlab.com/BZHDeveloper/hfr/-/raw/master/twitter-logo.png Dr Marco Langbroek https://gitlab.com/BZHDeveloper/HFR/raw/master/emojis-micro/1f489.png #Vaccinate (@Marco_Langbroek) :

2/2
So people under the flight path should look the coming few hours!

 

un possible "live" :
https://youtu.be/X-wvbA-ARxc


Message édité par ZeMrHyde le 09-05-2021 à 01:45:49
n°62887725
Black_Pant​her
Problem Killer
Posté le 09-05-2021 à 01:58:59  profilanswer
 

Oui on va pouvoir observer une belle traîné lors de sa rentrée atmosphérique durant le prochain passage au dessus de la méditerranée


---------------
"Le but n'est pas le but, c'est la voie." Lao-Tseu
n°62887730
Black_Pant​her
Problem Killer
Posté le 09-05-2021 à 02:04:07  profilanswer
 

Ceux qui sont en Guadeloupe Martinique et Guyane veront ca avant dans 10/15min


---------------
"Le but n'est pas le but, c'est la voie." Lao-Tseu
n°62887753
ZeMrHyde
té !
Posté le 09-05-2021 à 02:42:33  profilanswer
 
n°62887766
AdHoc
Posté le 09-05-2021 à 03:20:46  profilanswer
 

Le contenu de ce message a été effacé par son auteur

mood
Publicité
Posté le   profilanswer
 

 Page :   1  2  3  4  5  ..  1710  1711  1712  ..  2414  2415  2416  2417  2418  2419

Aller à :
Ajouter une réponse
 

Sujets relatifs
est-ce que la diffusion moléculaire depend du temps ou de l'espace?montage feu antibrouillard avant renault espace 2
Après l'Afghanistan et l'Irak, qui est le prochain sur la liste ?Vous partez ou en vacance l'ete prochain ?
A quand le prochain album des daft punk?En l'espace d'une semaine trois attentat islamist ont frappé la Russie
Aménagement d'une petite sdb - besoin d'idée pr gagner de l'espace!Cherche quelqu'un qui aurait "les zinzins de l'espace"
[musique de pub] Quelqu'un connait le titre de la pub Renault Espace? 
Plus de sujets relatifs à : [Fusées] 2026.02.12 16h45 UTC • Ariane 64 VA267 • LE-01 • ELA4, CSG


Copyright © 1997-2025 Groupe LDLC (Signaler un contenu illicite / Données personnelles)